在共振点探查试验中,细心的工程师会发现一个困惑,在没有指定扫频速度和扫频方向时,不知道该如何选择合适的扫频速度和扫频方向进行试验?
这是因为,第一,扫频速度的大小(快慢)影响共振峰的放大倍数。理论上讲,扫频速度过快,会丢失一些频带比较窄的共振点。好比一个球在凹凸不同带有洼穴的斜面上滚下一样,速度比较慢,球就可以滚进每个洼穴和凸点。速度比较快的话,一些小洼穴就不会进去。所以,在设置振动台扫频参数时,尽量放低扫频速度,不论是线性扫频还是对数扫频,都有利于发现更多的共振点。第二,随着向上扫频(频率由小到大)并接近共振时,共振点的幅值开始增加,由于振幅和频率是成反比例的关系,所以幅值的增加导致共振频率的降低。当向下扫频(频率从大到小)并接近共振时,共振正好也向同一方向移动。随着幅值的增加,共振频率会降低。所以,扫频方向和共振频率移动一致时,扫频测试就会有更充足的时间采集试验体的共振峰。
其实,这主要涉及扫频速度及扫频方向和振动响应的关系,接下来就详细地来说明这个复杂关系。假设不用扫频(扫频速度为零),直接用试验体的共振频率给试验体正弦定频加振,试验体的振动响应会慢慢成长,一定时间加振持续,试验体的振动响应饱和(完全共振),振幅达到Q值(Q=1/2ζ),如下图1所示,

也就是说,达到完全共振需要一定时间,之前的振动称为过渡振动状态。阻尼比ζ,固有角加速度ωn的单自由度振动模型,施加位移
![]()
初期位移0及初始速度0,则单自由度的位移x为,


共振频率正弦振动次数N=ωnt/2π、ζ(Q值)、R%三者之间的曲线如下图2,

扫频试验时,试验体的响应也是一个过渡振动状态,由于试验体的Q值和扫频速度的影响,振动响应会有所变化。下图3中,横轴是扫描频率,纵轴为扫频速度变化时振动响应的峰值。

图中,扫频速度快速的场合,共振时试验体的振动响应不能充分,峰值对应扫频速度变小,且共振点会有所偏移。频率从小到大扫描时(向上扫频),共振点大于实际共振点,频率从大到小扫描时(向下扫频),共振点小于实际共振点。由此可见,通过正弦扫频振动试验寻找试验体的共振点时,有必要考虑扫频速度和扫频方向对试验体响应的影响。引入一个无量纲参数η(下一篇文章说明),可以简单的进行判断。

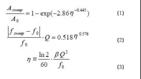
上面三式中,Asweep为振动响应峰值;A0为完全共振时的振幅;fsweep为振动响应峰值对应的峰值频率;f0为试验体的共振频率;β为扫频速度,单位oct/min;Q为试验体的Q值。式(1)表示对应扫频速度,振动响应峰值的变化率(Asweep/ A0);式(2)是对应扫频速度,振动响应的峰值频率的偏移量(∣fsweep- f0∣·Q/f0)。这两个公式是通过利用单自由度振动系统的过渡振动响应计算结果得到的拟合半经验公式(下一篇文章中和无量纲参数η一起介绍)。可以通过表1,某一试验体的试验结果来得到验证。表1表明,通过扫频试验结果估算试验体Q值和共振频率时,会有百分之几的误差,需要引起注意。

综上所述,振动台利用频率的变化激励试验体,通过试验体的共振频率(fn)达到共振状态,与该共振的动态放大因子(Q)和激励频率本身的幅值有关外,还与扫频速度有关。若扫频速度选择不合适,则试验体的动态响应幅值可能达不到稳定振动理论所预计的那么大。比如,扫频速度过快,则共振频率只是部分被激励,或在极端情况下完全被漏掉。通常要保证达到静态谐振曲线(扫频速度为零)幅值的95%,见图2,从谐振频率的总振动次数,在衰减比小的情况下,应达到大于等于300个振动周期,即扫频速度小于等于(fn)2/300。
下图是不同频率对Q为20和10两个单自由度系统所激起的共振状态。图中,横坐标是理论共振频率和实际共振频率之比,可以看出振动次数Nn越小(相当于扫频速度快),不仅系统被激起的共振响应幅值越小,而且显示的共振频率明显高于理论共振频率。在对数扫频中寻找共振频率的试验中,如果共振没有被激起,可以先检查扫频速度是否过快。但也需要避免不适当的放慢,因为振动响应检查的时间是不能从功能试验或耐久试验的时间中扣除的。

稳态正弦扫频是最普遍的激振方法,借助激振设备对被测对象施加一个频率可控的简谐激振力,在扫描频带范围内具有连续频谱,能激起该频带内的所有振动模态。一般有线性扫频和对数扫频两种方式,若所关心的结构固有频率范围不大,可采用线性扫频;对于固有频率范围较大的情况,可采用对数扫频。扫频速度的控制也很重要,若扫描太快,对于轻阻尼机构,可能会遗漏一些模态,因此频率变化要尽可能慢,以使系统响应达到稳定状态。为了避免响应滞后引起幅频特性的峰值后移,可反复进行频率向上和向下的扫频激励,并取多次测量的平均。这种激励方式的优点是激振功率大,能量集中、信噪比高,能保证响应测试的精度,信号的频率和幅值易于控制,且当激振能量大小不同时,在非线性结构中将产生不同的频率响应函数,因而能检测出系统的非线性程度。其缺点是测试时间长,特别是小阻尼结构,不能通过平均消除非线性因素的影响,容易产生泄露误差。
读到此处,理论基础较差的读者可能是一头雾水,不知所云。少废话,针对文章开头的问题(在共振点探查试验中,在没有指定扫频速度和扫频方向时,不知道该如何选择合适的扫频速度和扫频方向进行试验?),有没有行之有效的方法?有的,重点来了,根据作者多年的现场经验,只要记住以下的方法即可:在扫描频率范围内,不快不慢刚刚好,建议加速度取2~5m/s2中的一个值(尽量取小,加速度太大,在不知道Q值的情况下,共振时容易损坏试验体。),扫频速度在1oct/min左右,共振点取向上向下扫频的平均值,来回扫频1-2次,共振点取响应的2-3倍。本方法使用至今,基本上都能解决现场的共振点探查问题,但不排除特殊情况。另外,在有试验标准规定的场合下,请按照标准的规定执行。